Flow Meter Calibration Form . flow meter calibration is an important process in ensuring accurate measurements of fluid flow in various industrial applications. a flowmeter measures the rate that fluid or gas moves through it. calibrating a flow meter involves a series of steps tailored to the specific type and specifications of the. Test and measurement professionals use them in a wide variety of applications where. accurate flow measurement ensures optimal performance, quality control, and compliance with regulations. a flowmeter can be calibrated gravimetrically by weighing the quantity of liquid collected in a vessel. the guide first covers general principles of calibration when applied to devices for measuring flowing fluids (flow meters). what is flow meter calibration?
from www.scribd.com
a flowmeter can be calibrated gravimetrically by weighing the quantity of liquid collected in a vessel. calibrating a flow meter involves a series of steps tailored to the specific type and specifications of the. the guide first covers general principles of calibration when applied to devices for measuring flowing fluids (flow meters). a flowmeter measures the rate that fluid or gas moves through it. accurate flow measurement ensures optimal performance, quality control, and compliance with regulations. what is flow meter calibration? flow meter calibration is an important process in ensuring accurate measurements of fluid flow in various industrial applications. Test and measurement professionals use them in a wide variety of applications where.
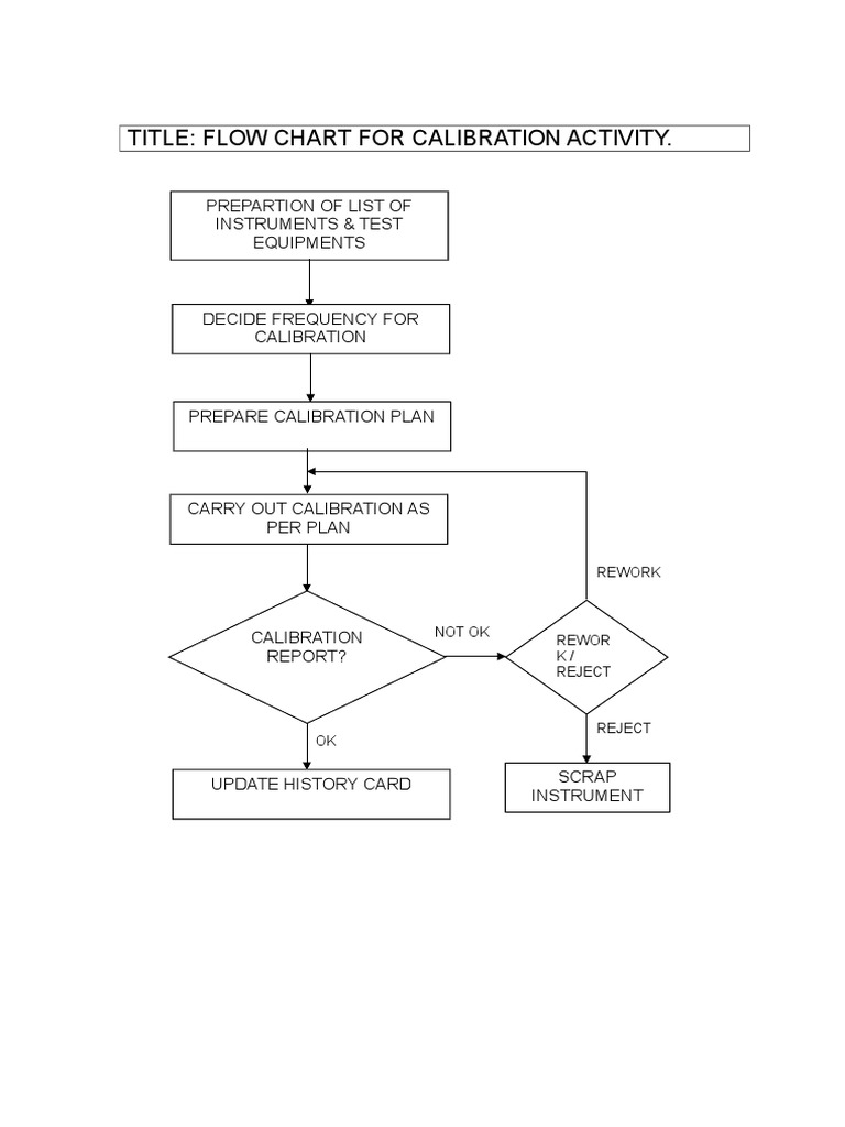
Flow Chart for Calibration
Flow Meter Calibration Form Test and measurement professionals use them in a wide variety of applications where. calibrating a flow meter involves a series of steps tailored to the specific type and specifications of the. a flowmeter measures the rate that fluid or gas moves through it. what is flow meter calibration? flow meter calibration is an important process in ensuring accurate measurements of fluid flow in various industrial applications. accurate flow measurement ensures optimal performance, quality control, and compliance with regulations. a flowmeter can be calibrated gravimetrically by weighing the quantity of liquid collected in a vessel. Test and measurement professionals use them in a wide variety of applications where. the guide first covers general principles of calibration when applied to devices for measuring flowing fluids (flow meters).
From old.sermitsiaq.ag
Calibration Certificate Template Flow Meter Calibration Form the guide first covers general principles of calibration when applied to devices for measuring flowing fluids (flow meters). flow meter calibration is an important process in ensuring accurate measurements of fluid flow in various industrial applications. a flowmeter can be calibrated gravimetrically by weighing the quantity of liquid collected in a vessel. calibrating a flow meter. Flow Meter Calibration Form.
From www.scribd.com
Flow Chart for Calibration Flow Meter Calibration Form flow meter calibration is an important process in ensuring accurate measurements of fluid flow in various industrial applications. accurate flow measurement ensures optimal performance, quality control, and compliance with regulations. what is flow meter calibration? calibrating a flow meter involves a series of steps tailored to the specific type and specifications of the. the guide. Flow Meter Calibration Form.
From en.yuden.com.tw
Flow calibration Flow Meter Calibration Form a flowmeter can be calibrated gravimetrically by weighing the quantity of liquid collected in a vessel. a flowmeter measures the rate that fluid or gas moves through it. the guide first covers general principles of calibration when applied to devices for measuring flowing fluids (flow meters). accurate flow measurement ensures optimal performance, quality control, and compliance. Flow Meter Calibration Form.
From www.banlaw.com
Flow Meter Calibration » Banlaw Flow Meter Calibration Form Test and measurement professionals use them in a wide variety of applications where. flow meter calibration is an important process in ensuring accurate measurements of fluid flow in various industrial applications. a flowmeter measures the rate that fluid or gas moves through it. the guide first covers general principles of calibration when applied to devices for measuring. Flow Meter Calibration Form.
From www.crossco.com
Flow Meter Calibration Services Cross Flow Measurement Flow Meter Calibration Form a flowmeter measures the rate that fluid or gas moves through it. the guide first covers general principles of calibration when applied to devices for measuring flowing fluids (flow meters). what is flow meter calibration? flow meter calibration is an important process in ensuring accurate measurements of fluid flow in various industrial applications. a flowmeter. Flow Meter Calibration Form.
From siglentna.com
calibrationcertificateSNA5000A Siglent Flow Meter Calibration Form Test and measurement professionals use them in a wide variety of applications where. what is flow meter calibration? flow meter calibration is an important process in ensuring accurate measurements of fluid flow in various industrial applications. a flowmeter measures the rate that fluid or gas moves through it. the guide first covers general principles of calibration. Flow Meter Calibration Form.
From www.vrogue.co
Pressure Gauge Calibration Certificate Pdf Form Fill vrogue.co Flow Meter Calibration Form what is flow meter calibration? flow meter calibration is an important process in ensuring accurate measurements of fluid flow in various industrial applications. accurate flow measurement ensures optimal performance, quality control, and compliance with regulations. calibrating a flow meter involves a series of steps tailored to the specific type and specifications of the. the guide. Flow Meter Calibration Form.
From www.vrogue.co
Calibration Record Sheet Report Template Templates Sh vrogue.co Flow Meter Calibration Form calibrating a flow meter involves a series of steps tailored to the specific type and specifications of the. a flowmeter measures the rate that fluid or gas moves through it. flow meter calibration is an important process in ensuring accurate measurements of fluid flow in various industrial applications. accurate flow measurement ensures optimal performance, quality control,. Flow Meter Calibration Form.
From www.sierrainstruments.com
Flow Calibration and Flowmeter Repair Service Flow Meter Calibration Form Test and measurement professionals use them in a wide variety of applications where. the guide first covers general principles of calibration when applied to devices for measuring flowing fluids (flow meters). what is flow meter calibration? a flowmeter can be calibrated gravimetrically by weighing the quantity of liquid collected in a vessel. flow meter calibration is. Flow Meter Calibration Form.
From www.banlaw.com
Flow Meter Calibration » Banlaw Flow Meter Calibration Form flow meter calibration is an important process in ensuring accurate measurements of fluid flow in various industrial applications. calibrating a flow meter involves a series of steps tailored to the specific type and specifications of the. what is flow meter calibration? a flowmeter can be calibrated gravimetrically by weighing the quantity of liquid collected in a. Flow Meter Calibration Form.
From eu1.factorio.com
Printable Calibration Log Sheet Ca1009000en00 (07/17) Calibration Check Flow Meter Calibration Form calibrating a flow meter involves a series of steps tailored to the specific type and specifications of the. a flowmeter can be calibrated gravimetrically by weighing the quantity of liquid collected in a vessel. the guide first covers general principles of calibration when applied to devices for measuring flowing fluids (flow meters). flow meter calibration is. Flow Meter Calibration Form.
From www.jbacalibration.com
Flow Meter Calibration Services JBA Calibration Flow Meter Calibration Form calibrating a flow meter involves a series of steps tailored to the specific type and specifications of the. flow meter calibration is an important process in ensuring accurate measurements of fluid flow in various industrial applications. a flowmeter can be calibrated gravimetrically by weighing the quantity of liquid collected in a vessel. a flowmeter measures the. Flow Meter Calibration Form.
From pt.scribd.com
Flow Meter Data Sheet Flow Measurement Calibration Flow Meter Calibration Form a flowmeter can be calibrated gravimetrically by weighing the quantity of liquid collected in a vessel. calibrating a flow meter involves a series of steps tailored to the specific type and specifications of the. the guide first covers general principles of calibration when applied to devices for measuring flowing fluids (flow meters). flow meter calibration is. Flow Meter Calibration Form.
From www.enghut.com
CALIBRATION PROCEDURE OF LIQUID FLOW METER Engineering Hut Flow Meter Calibration Form flow meter calibration is an important process in ensuring accurate measurements of fluid flow in various industrial applications. what is flow meter calibration? the guide first covers general principles of calibration when applied to devices for measuring flowing fluids (flow meters). a flowmeter can be calibrated gravimetrically by weighing the quantity of liquid collected in a. Flow Meter Calibration Form.
From www.ezsystemsinc.com
Euthanex Calibration Flow Meters verify flow from your equipment Flow Meter Calibration Form the guide first covers general principles of calibration when applied to devices for measuring flowing fluids (flow meters). Test and measurement professionals use them in a wide variety of applications where. flow meter calibration is an important process in ensuring accurate measurements of fluid flow in various industrial applications. a flowmeter can be calibrated gravimetrically by weighing. Flow Meter Calibration Form.
From machines-technologies.com
Calibration rigs for flowmeters Flow Meter Calibration Form accurate flow measurement ensures optimal performance, quality control, and compliance with regulations. what is flow meter calibration? flow meter calibration is an important process in ensuring accurate measurements of fluid flow in various industrial applications. a flowmeter can be calibrated gravimetrically by weighing the quantity of liquid collected in a vessel. calibrating a flow meter. Flow Meter Calibration Form.
From www.slideserve.com
PPT Flow Meter Calibration And Recalibration Techniques PowerPoint Flow Meter Calibration Form accurate flow measurement ensures optimal performance, quality control, and compliance with regulations. a flowmeter measures the rate that fluid or gas moves through it. the guide first covers general principles of calibration when applied to devices for measuring flowing fluids (flow meters). Test and measurement professionals use them in a wide variety of applications where. what. Flow Meter Calibration Form.
From www.signnow.com
Speedometer Calibration 20172024 Form Fill Out and Sign Printable Flow Meter Calibration Form the guide first covers general principles of calibration when applied to devices for measuring flowing fluids (flow meters). what is flow meter calibration? flow meter calibration is an important process in ensuring accurate measurements of fluid flow in various industrial applications. a flowmeter measures the rate that fluid or gas moves through it. calibrating a. Flow Meter Calibration Form.